Агар продажа оптом.

  тел.: +7 499 390-17-48

e-mail: agar900@mail.ru  

Москва, ул. Чермянская, дом 2 
 
         
     
         
  Предприятие  
 

Green fresh производит различные виды агар-агаров, как пищевого назначения, так и технического. Производство осуществляется на трех различных фабриках. Каждый вид агар-агара специально разрабатывается под определенную область применения, чтобы максимально удовлетворить все возможные потребности производства.
Отдел исследований и развития Green fresh постоянно разрабатывает новые виды агар-агаров в целях его эффективного использования в новых отраслях.


Агар-агар — это продукт, получаемый путем экстрагирования из красных водорослей (Gracilaria, Gelidium, Ahnfeltia и др.). Агар-агар не растворим в холодной воде. Он полностью растворяется только при температурах от 95 до 100 градусов. Горячий раствор является прозрачным и ограничено вязким. При охлаждении до температур 35-40 градусов он становится чистым и крепким гелем, который является термообратимым. При нагревании до 85-95 градусов он опять становится жидким раствором, снова превращающимся в гель при 35-40 градусах.
Из-за этих интересных свойств агар-агар успешно применяется при производстве кондитерских изделий (мармелад, зефир, жевательные конфеты, пастила, начинки, суфле), диетических продуктов (джем, конфитюр), фармацевтических продуктов.


Образец продукции высылается бесплатно, отправка товара производится в любой регион за наш счёт.

 
  Производство Агара  
 

Агар-агар — это продукт, получаемый путем экстрагирования из красных водорослей (Gracilaria, Gelidium, Ahnfeltia и др.).
Наибольшее распространение получили водоросли двух типов: Gracilaria и Gelidium. Природные ресурсы Gelidium ограничены и площади произрастания постепенно сокращаются, водоросль не культивируется. Красная водоросль Gracilaria, используемая в производстве агаров, растет в достаточно большом количестве и культивируется. Агар, получаемый из Gracilaria является самым распространенным в мире.
Во времена СССР агар завозился на 50% из-за рубежа, остальную часть производили на Дальнем Востоке и Сахалине из водорослей Ahnfeltia. В последние годы производство агар-агара в РФ упало более чем в 10 раз.
Наиболее качественный агар-агар экстрагируется из водорослей Gracilaria-verrucosa и Gracilaria-confervoides, произрастающих вдоль побережья Италии. Высокое качество у агаров, производимых из водорослей Gracilaria-Chilensis, растущих вдоль побережья Чили.

 
 
Класс Семейство Род Отряд Происхождение
Rhodophyta Phillophoraceae   Ahnfeltia   plicata   Сахалин
    Ahnfeltia   paradoxa   Россия
    Ahnfeltia   gigartinoides    
Gelidiaceae   Pterocladia   capillacea   Адзорры, Португалия
    Pterocladia   lucida   Новая Зеландия
    Pterocladia   tenuis   Адзорры, Португалия
    Pterocladia   densa   Средиземное море
    Gelidium   amansii      Япония
    Gelidium   sesquipedale   Марокко
    Gelidium   sesquipedale   Испания
    Gelidium   japonicum   Япония
    Gelidium   cartilagineum   Южная Африка
    Gelidium   nudifrons   Калифорния
    Gelidium   spinolosum    Марокко
    Gelidium   arborescens    
    Gelidium   densum    
    Gelidium   corneum    
    Gelidium   pristoides   Мадагаскар
Gracilariaceae   Gracilaria   verrucosa   Италия
    Gracilaria   confervoides   Италия
    Gracilaria   foliifera   Флорида, США
    Gracilaria   cornea   Северная Америка
    Gracilaria   chilensis   Чили
    Gracilaria   bursa-pastoris   Гаваи, США
    Gracilariopsis   chorda   Япония
    Gracilariopsis   estedtii    Флорида, США
             
    Acanthopeltis   japonica   Япония
             
    Gelidiella   acerosa   Япония
    Gelidiella   edulis   Индия
             
    Gelidiopsis   rigida   Индонезия
 
 

Ahnfeltia
Ahnfeltia растет на Дальнем востоке. Экстрагированный из нее агар-агар представляет собой маленькие коричневатые пластинки «хлопья» и содержит большое количество йода. Полностью растворяется при нагревании, образуя мутный раствор, а при взаимодействии с лимонной кислотой образует прозрачный гель.

Gelidium
Агар, получаемый из Gelidium, представляет собой белый порошок со слабым запахом водорослей. Хорошо растворяется при нагревании. Имеет срок хранения 5 лет.

Gracilaria
Агар, получаемый из Gracilaria, представляет собой белый порошок без постороннего запаха и остаточных красящих веществ. В холодной воде набухает, а в горячей образует коллоидный раствор.
 

 
  Принципиальная схема производства агара:  
 
 
 
  Станы производители агаров:  
 

Италия Агар - агар 700 | 800 | 900 | 1000
Чили Агар - агар 700 | 800 | 900 | 1000
Япония Агар - агар 700 | 800 | 900 | 1000
Испания Агар - агар 700 | 800 | 900 | 1000
Южная Корея Агар - агар 700 | 800 | 900 | 1000
Марокко Агар - агар 700 | 800 | 900 | 1000
Германия Агар - агар 700 | 800 | 900 | 1000
Португалия Агар - агар 700 | 800 | 900 | 1000
Тайвань Агар - агар 700 | 800 | 900 | 1000
Аргентина Агар - агар 700 | 800 | 900 | 1000
Индонезия Агар - агар 700 | 800 | 900 | 1000
Китай Агар - агар 700 | 800 | 900 | 1000
Мексика Агар - агар 700 | 800 | 900 | 1000
США Агар - агар 700 | 800 | 900 | 1000
Франция Агар - агар 700 | 800 | 900 | 1000
Бразилия Агар - агар 700 | 800 | 900 | 1000
Новая Зеландия Агар - агар 700 | 800 | 900 | 1000
Сахалин Агар - агар 700 | 800 | 900 | 1000
Дальний Восток Агар - агар 700 | 800 | 900 | 1000

 
  Свойства Агара  
 

Агар-агар представляет собой смесь полисахаридов агарозы и агаропектина, которая извлекается из красных морских водорослей рода Ahnfeltia, Gracilaria и Gelidium и после тщательной очистки от сопутствующих примесей используется в качестве эффективного желирующего агента при производстве пищевых продуктов. Агар образует прочные гели независимо от содержания сахара в конечном продукте.

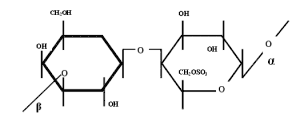
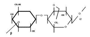
Агароза
Агаропектин

 

 
 

Основной характеристикой агара является прочность студня. Показатель прочности студня агара по методу Nikkan Kobe лежит в основе классификации сортов агара импортного производства. Наиболее широкое применение нашли агары с прочностью студня 700 г/см2 и 900 г/см2, реже применяются агары с прочностью студня 800 г/см2 и 1000 г/см2.
 
Свойства агаров в РФ регламентируются требованиями:
• ГОСТ 17206-84 - Агар микробиологический. Технические условия
• ГОСТ 17206-96 - Агар микробиологический. Технические условия
• ГОСТ 16280-70 - Агар пищевой. Технические условия
• ГОСТ 16280-88 - Агар пищевой. Технические условия
• ГОСТ 16280-2002 - Агар пищевой. Технические условия

 
 
Качественные показатели:  
Цвет белый или с кремовым оттенком
Запах, вкус отсутствуют
Влажность от 10% до 15%
Зольность < 3,0%
рH(10% в растворе) 6,8 - 7,2
Размер частиц 80/100, 150 меш
Растворимость высокая
Прочность геля(г/cм2) от 500 до 1000
Вязкость от 8 до 25 cps
Температура желирования от 35° до 43°C
Температура плавления от 85° до 95°C
Тяжелые металлы < 20 ppm
Кадмий < 1 ppm
Свинец < 5 ppm
Ртуть < 1 ppm
Мышьяк < 3 ppm
Микробиологические показатели:  
Общее кол-во бактерий < 5.000 ед/г
Дрожжи, плесень < 100 ед/г
Сальмонелла отсутствует
E.Коли отсутствуют

 
  Свойства Агара  
 

- полный спектр прочностей студня агара от 500 г/см2 до 1000 г/см2
- различные размеры частиц, а также уровни вязкости
- обеспечивает получение твердого или эластичного геля
- синергизм в присутствии сахара
- температура желирования от 35° C до 43°C
- температура плавления от 85° дo 95° C
- очень устойчивый при воздействии высоких температур
- хорошо растворим, дает гель высокой прозрачности
- обеспечивает образование геля со слабой склонностью к синерезису
- свободный от GMO
- отвечает требованиям законодательства ЕС 98/86/CE от 11.11.1998

 
  Применение Агара  
 

Агар-агар или просто агар, по происхождению, – слово малайское. Именно на Востоке впервые заметили, что, если выварить и высушить бурые морские водоросли, получится необычное прозрачное вещество без запаха, вкуса и цвета. Если вещество снова смочить, образуется густой, плотный студень. А если в этот студень добавить сахар или какой-нибудь фруктовый сок, то получается... мармелад.


По сравнению с другими желирующими (такими, как каррагенан, пектин, желатин), агар имеет наилучшие показатели густоты и гелификации. В отличие от желатина, агар практически не содержит калорий. Агар выводит из организма токсины и шлаки, удаляет вредные вещества из печени, улучшая ее работу.
Агар находит широкое применение в производстве кондитерских изделий:

- Мармелад
- Жевательные изделия
- Взбивные кондитерские изделия
- Зефир
- Пудинги
- Джемы и начинки
- Мороженое
- Глазури для кондитерских изделий
 
Технология изготовления мармелада включает в себя следующие операции:


Приготовление рецептурной смеси. Пищевой ингредиент агар-агар смешать с сахаром в соотношении 1:5 (один из способов внесения агара) и растворить в холодной воде, оставить для набухания на 20-30 мин.

 
Варка мармеладной массы. Остальное количество сахара и фруктовое пюре перемешивают в варочной емкости, затем при нагревании добавляют набухший раствор агара с сахаром. Массу нагревают до полного растворения, вносят при постоянном перемешивании патоку. Смесь уваривают до необходимого содержания сухих веществ (длительность уваривания не более 10-20 мин.). Затем мармеладную массу охлаждают, вносят ароматизатор и краситель.


Отсадка. В мармеладную массу при перемешивании вносят раствор лимонной кислоты при температуре 60-70 градусов и отливают в формы.


Выстойка, сушка.


Фасовка и упаковка.

 
 
Рецептура мармелада:  
Ингредиенты Масса, кг
Фруктовое пюре 20,0
Сахар 55,0
Патока (или глюкозный сироп) 80 % сухих веществ, 42 % редуцирующих веществ 25,0
Агар 1,0
Лимонная кислота (50% раствор) 1,1
Цитрат натрия х 2Н2О 0,22
Вода 3,0
ИТОГО: 105,3
ВЫХОД: 100,0
Содержание сухих веществ: 84,0
рН: 3,2-3,5
 
 
 
Рекомендуемые дозировки для кондитерских изделий:  
Изделие Дозировка, %
Мармелад 0,8-1,1
Пат 0,5-0,8
Желе 0,5-0,8
Джемы 0,5-0,8
Зефир 0,6-0,8
Пастила 0,6-0,9
Птичье молоко, суфле 0,6-0,8
Мороженое 0,1-0,3
 
 
  Агар ГОСТ  
 

ГОСТ 16280-2002 Агар пищевой.

ГОСТ 17206-96 Агар микробиологический.


 
  Контакты  
 

Агар продажа оптом.

  тел.: +7 499 390-17-48

e-mail: agar900@mail.ru

Москва, ул. Чермянская, дом 2